第十二章 自动武器用弹簧设计
填空题:
1、圆柱螺旋压缩弹簧在自动武器常用做复进簧、缓冲簧、击发簧、抽壳钩簧等。
2、矩形截面的弹簧两种结构形式:平绕式、纵绕式
3、多股圆柱螺旋压缩弹簧在大口径、高射速自动武器 (如高射机枪和航空自动炮)中常用作复进簧。
4、在自动武器中,棱柱螺旋压缩弹簧主要用于弹匣中的输弹簧。
5、圆柱螺旋扭转弹簧可以分为无间距的圆柱螺旋扭转弹簧和有间距的圆柱螺旋扭转弹簧。
6、在现代自动武器中,平面涡卷弹簧一般是用作机枪供弹具中的供弹簧。
9、在自动武器中,常把碟形弹簧用做缓冲簧以缓冲活动机件的运动或装在枪架上的枪身运动。
10、环形弹簧在自动武器中主要用于大口径武器中作枪机缓冲簧 、枪机框缓冲簧 以及身管缓冲簧等。
名词解释:
1、 弹簧特性曲线:
答:弹簧受到静力压缩时,表示弹簧所承受的载荷 (或弹簧力)F与压缩量 f之间的关系曲线,称为弹簧特性曲线。
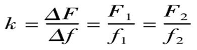
2、 弹簧刚度
答:所谓刚度是指弹簧的压缩量发生单位长度变化时,弹簧力的改变量,即

简答题:
1、矩形和方形截面弹簧的设计方法与步骤
答:(1)、选择弹簧结构参数和簧丝截面形状
(2)、确定簧丝的截面尺寸 a、b
(3)、确定弹簧工作圈数 n
(4)、计算弹簧的刚度 k
(5)、确定弹簧的其他结构尺寸
(6)、绘制弹簧零件图和提出技术要求
2、多股圆柱螺旋压缩弹簧的设计步骤
答:(1)根据给定条件确定弹簧工作载荷 F和刚度 k
(2)计算弹簧钢丝直径 d
(3)计算钢索直径和弹簧结构尺寸
(4)确定弹簧的有效圈数 n
(5)确定弹簧节距 t,和螺旋角 α之值
(6)弹簧长度的计算
(7)计算弹簧刚度和弹簧力的实际值
(8)计算压并应力 τ
(9)计算钢索钢丝长度及弹簧质量
(10)绘制弹簧产品图,包括绘出多股圆柱螺旋压缩弹簧特性曲线图。
3、圆柱螺旋扭转弹簧的设计步骤
答:(1)确定扭转弹簧的工作力矩 M1、M2
(2)计算扭转弹簧钢丝直径 d
(3)选择扭转弹簧中径 D
(4)计算扭转弹簧工作圈数 n
(5)计算扭转弹簧刚度 M′
(6)确定扭转弹簧工作时受结构限制的最大扭转角 φ3
(7)计算扭转弹簧结构尺寸
(8)绘制零件工作图并制定技术要求
4、片弹簧的设计步骤
答:(1)确定片弹簧的类型
(2)确定片弹簧结构尺寸及工作条件
(3)计算片弹簧的厚度
(4)绘制弹簧零件图、特性曲线及确定技术条件
5、简述片弹簧黄在自动武器中的作用及安装形式
答:片弹簧在自动武器中常用做表尺板簧、抽壳钩簧或抛壳挺簧,在击发机构与发射机构中有时用作扳机簧或作为保持零件位置以及其他定位用的弹簧。片弹簧的安装形式一般有三种:①一端固定的悬臂梁;②具有两个支点的悬臂梁;③二端支撑的简支梁。